Categories

What is the relationship between relative centrifugal force and rotational speed? How to convert?

Jan 30th,2026 177 Views

In the field of life sciences, centrifugation is an indispensable technical means and the most common experimental item in the laboratory. Laboratory partners often ask, the centrifuge units labeled by each centrifuge tube are different, how to distinguish and compare?

01 centrifugal force

The principle of centrifugal technology is to use the strong centrifugal force generated when the object rotates at high speed to settle or float the suspended particles placed in the rotating body, so that some particles can achieve the purpose of concentration or separation from other particles.

Some biological particles can be separated by a gravity field (1×g), such as human blood cells, where treated blood cells are placed on the table for 1-2 hours, and white blood cells and red blood cells can be automatically stratified due to the different sizes of different cells. However, to separate smaller biological particles, a force much greater than gravity is required, usually we call this force centrifugal force, we can use centrifugal technology to separate different particles by rotating a centrifuge tube containing suspended particles along the axis. The centrifuge tube is rotated by a centrifuge, and the rotor is loaded and driven along the shaft, and the particles move outward from the axis under radial centrifugal force. The centrifugal force of both cells and biological macromolecules can be calculated by the following formula:

(1)F centrifugal force=m×rw²

F centrifugal force: the centrifugal force to which the particles are subjected;

m: the quality of the particles;

ω: angular velocity;

r: centrifugal radius, i.e. the distance from the axis of rotation to the pellet.

 

02 Relative centrifugal force

Typically, the radial force on a rotating rotor is measured by the relative centrifugation force (RCF). The so-called relative centrifugal force is the ratio of centrifugal force to gravity, expressed by the following formula:

(2)RCF=F Centrifugal force/F Gravity=mrw²/mg=rw²/g
RCF: relative centrifugal force;
F centrifugal force: the centrifugal force on the particles;
F gravity: the gravity of the particles;
m: the quality of the particles;
ω: angular velocity;
g: acceleration due to gravity;
r: centrifugal radius, i.e. the distance from the axis of rotation to the pellet.

 

03 The relative centrifugal force vs. rotational speed

ω is the angular velocity of the rotor, which refers to the number of degrees of arc per second that the rotor turns, and its value is:

(3)ω=2πRPM/60=0.10472RPM

RPM: The number of revolutions per minute that the rotor turns.

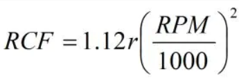
Combining Equation (2) and Equation (3) can be used to obtain the relationship between the rotational speed of the same rotor and the relative centrifugal force:

(4)
r: centrifugal radius, i.e. the distance from the axis of rotation to the particles in mm.
 In the process of centrifugation of centrifuge tubes in a centrifuge, the distance (centrifugal radius) between the points from the mouth to the bottom of the tube and the axis of rotation is different, and the average radius is used as the centrifugal radius in the calculation: r=(r min+r max)/2.
From the above, it can be seen that the relative centrifugal force of the rotor is proportional to the square of the rotational speed of the rotor and proportional to the radius of the rotor. For the same rotor, since the radius is constant, increasing the speed is equivalent to increasing the relative centrifugal force.

04 illustrate

Taking Amngent's centrifuge tube as an example, the centrifugal force of Amngent's 15ml centrifuge tube is 9400G, when the centrifugal radius is 8cm, that is, 80mm, substitute formula (4),

RPM²=(9400x1000²)/(1.12x80)
After opening the square, the speed is about 10000rpm. Similarly, when the known speed is 15000rpm and the centrifugal radius is 8cm, substitute the formula (4)
RCF=1.12x80x(15000/1000)²

We can calculate that the relative centrifugal force is about 20000g.

Since the internal test standard of Amngent is 15ml centrifuge tube to reach 11000g to ensure the relative centrifugal force of 9400g under various use conditions, and the test standard used by Amngent 50ml centrifuge tube to reach 8400g is 10000g, so when using Amngent 15ml centrifuge tube to meet the needs of 9400g relative centrifugal force when experimenting, you can also use this tube with confidence and boldly!

We use Cookie to improve your online experience. By continuing browsing this website, we assume you agree our use of Cookie.